在数学中,对数是对求幂的逆运算,正如除法是乘法的倒数,反之亦然。 这意味着一个数字的对数是必须产生另一个固定数字(基数)的指数。 在简单的情况下,乘数中的对数计数因子。更一般来说,乘幂允许将任何正实数提高到任何实际功率,总是...
对数的历史
对数符号
对数的定义
对数函数
应用
https://baike.baidu.com/
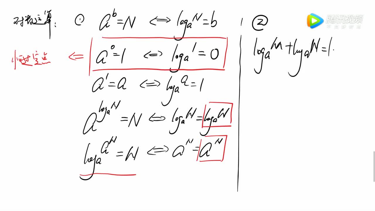
2019年8月30日 - 对数公式是数学中的一种常见公式,如果a^x=N(a>0,且a≠1),则x叫做以a为底N的对数,记做x=log(a)(N),其中a要写于log右下。其中a叫做对数的底,N叫做真...
2018年11月29日 - 可以直接戳:李狗嗨:为什么说"对数"可以延长天文学家寿命?数学的基本运算可分为三个等级。第一…
2019年6月19日 - 其中,a叫做对数的底数,N叫做真数,x叫做“以a为底N的对数”。2.1对数的表示及性质:1.以a为底N的对数记作:logaN2.以10为底的常用对数:lgN = log10N...
对数运算,对数函数,对数运算法则,对数表,对数计算器,对数公式,自然对数,指数函数,对数正态分布,常用对数
15页 发布时间: 2019年12月19日
2.2 对数函数 2.2.1 对数与对数运算第 1 课时 对数概念、常用对数执教人:陈学发 课题引入: 探究: (1)、当分裂细胞有 128 个时,请问分裂了多少次? 1 (...
2019年7月30日 - 实数x的对数lnx是令e变成x的指数,也就是说: 现在我们用计算器或者电脑来计算对数,但是很久以前人们通过对数表来计算lnx。 Portrait of John Napier (1550-1617...

[视频]时长 03:20
3分钟讲述对数(Log)的意义
www.bilibili.com/video/a...
-
百度快照
3页 发布时间: 2020年01月27日
解对数不等式 2 (1)解不等式 log2(x+1)>log2(1-x);(2)若 loga <1,求实数 a 的取值范围. 3 变式突破: 解不等式: (1)log3(2x+1)>log3(3-x...